Nine Cepheid-Cepheid binaries confirmed spectroscopically
Newly discovered nine binary systems consisting of two Cepheids shed more light on the evolution of multiple systems, and reveal their merger origin.
Newly discovered nine binary systems consisting of two Cepheids shed more light on the evolution of multiple systems, and reveal their merger origin.
An early-type eclipsing binary turns out to be a hierarchical quadruple system. Analysis of its complex configuration, although not easy, yields masses, radii, and temperatures of the inner binary, and mass estimations of the two outermost components.
An inner companion has recently been discovered orbiting the prototype of classical Cepheids, δ Cep, whose orbital parameters are now reported.
A bold hypothesis that outliers above the period-luminosity relation of Classical Cepheids are binaries brings a discovery of 16 new binary Cepheids with giant companions in the LMC.
Today we are celebrating with our colleague Darek Graczyk, who obtained the title of doctor habilitated!
An international team of astronomers within the Araucaria Project measured the distance to the Large Magellanic Cloud (LMC) with an exceptional accuracy of 1%.
We present analysis of eclipsing binary star LL Aqr which contains a solar twin component.
We present the results of a study of the type II Cepheid in the eclipsing binary system OGLE-LMC-T2CEP-098.
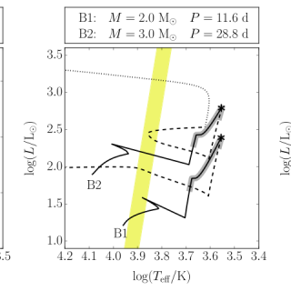
Synthetic simulation of low-mass binary stars shows that 5% of them can cross the instability strip as Binary Evolution Pulsators (BEPs).
Precise mass determination for a classical Cepheid in the double-lined, highly eccentric eclipsing binary system OGLE-LMC562.05.9009.