Distance to the LMC
LMC distance determined with the accuracy of 2% using binary systems composed of giants.
An eclipsing-binary distance to the Large Magellanic Cloud accurate to two per cent
G. Pietrzyński, D. Graczyk, W. Gieren, I. Thompson, B. Pilecki, A. Udalski, I. Soszyński, S. Kozłowski, P. Konorski, K. Suchomska, G. Bono, P. Moroni, S. Villanova, N. Nardetto, F. Bresolin, R. Kudritzki, J. Storm, A. Gallenne, R. Smolec, D. Minniti, M. Kubiak, M. Szymański, R. Poleski, Ł. Wyrzykowski, K. Ulaczyk, P. Pietrukowicz, M. Górski, P. Karczmarek
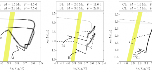
Observations of long-period, late-type eclipsing binaries composed of cool, giant stars offer a unique opportunity to measure stellar parameters and distances precisely and accurately. Measurements of both the linear and the angular sizes of these binary components can be conducted very precisely while avoiding the most important problems related to the hot, early-type systems. The LMC distance derived from eight long-period, late-type eclipsing binaries (49.97 ± 0.19 (stat.) ± 1.11 (syst.) kiloparsecs) is accurate to 2.2% (see the figure). This provides a firm base for refining both the period-luminosity relation for Cepheids in the LMC and the Hubble constant.

